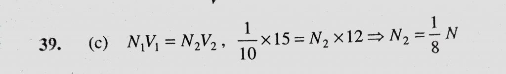
15 ml of N/10 NaOH solution completely neutralises 12 ml of H2SO4 solution. The normality of H2SO4 solution will be 15 ml of N/10 NaOH solution completely neutralises 12 ml of H2SO4 solution. The normality of H2SO4 solution will be December 7, 2020 Category: Uncategorised (JEE Advanced Physics by BM Sharma + GMP Solutions) , Facebook Messenger WhatsApp Share this:TwitterFacebook Related