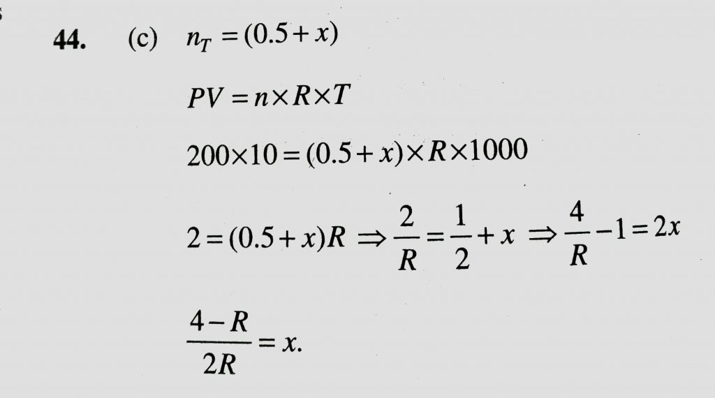
0.5 moles of gas A and x moles of gas B exert a pressure of 200 pa in a container of volume 10 m^3 at 1000 K. Given R is the gas constant in J/K/mol m , x is 0.5 moles of gas A and x moles of gas B exert a pressure of 200 pa in a container of volume 10 m^3 at 1000 K. Given R is the gas constant in J/K/mol m x is February 12, 2021 Category: Uncategorised (JEE Advanced Physics by BM Sharma + GMP Solutions) , Facebook Messenger WhatsApp Share this:TwitterFacebook Related